Se hai un abbonamento attivo ACCEDI QUI
Vitamina B6 o Piridossina: funzioni, carenza, fonti
La Vitamina B6 o Piridossina interviene in un gran numero di reazioni enzimatiche e sebbene la sua carenza non configuri una specifica malattia (come le carenze di altre vitamine: beri-beri, pellagra, scorbuto ecc.) essa si manifesta con disturbi cutanei come la dermatite seborroica e la cheilite, e con disturbi neurologici che vanno dalla astenia a parestesie e polineuropatie anche gravi.
La carenza di Vitamina B6 può provocare anche una anemia microcitica.
Indice dei contenuti
- Cenni storici
- Struttura chimica
- Proprietà fisico-chimiche
- Metabolismo
- Fisiologia
- Fonti, Unità, Apporti
- Carenza
- Diagnosi di carenza
- Farmacologia
- Indicazioni e Controindicazioni
- Ricerche attuali
- Conclusioni
Cenni Storici della Vitamina B6
La carenza di piridossina o vitamina non provoca nell’uomo alcuna sindrome specifica che possa dar luogo ad una descrizione tipica, come lo scorbuto, il beriberi, la pellagra, il rachitismo e la xeroftalmia. Senza dubbio a questo è dovuto il fatto che l’esistenza di questa vitamina è stata scoperta tardivamente, nel 1935.
In tale data, P. Gyòrgyi dimostrò l’esistenza, in un estratto di lievito, di un fattore che permette di guarire una dermatite pellagroide del ratto tenuto ad una dieta carente di complesso B, ma integrata con tiamina e riboflavina, due vitamine precedentemente identificate. Egli propose di dare a questa sostanza il nome di vitamina B6.
Diverse équipe di ricercatori, che lavoravano alla separazione dei diversi costituenti del complesso B, riuscirono in seguito ad isolare la piridossina allo stato cristallizzato, nel 1938, ed a farne la sintesi l’anno successivo.
Come per molte altre vitamine, il termine di vitamina B6 raggruppa di fatto parecchie sostanze affini. È così che l’attività vitaminica del piridossale e della piridossamina venne messa in evidenza nel 1945 da E.E. Snell.
Il ruolo della vitamina B6 in parecchi sistemi enzimatici sarà individuato in tempi successivi. Nel 1968 vengono pubblicate per la prima volta le indicazioni sugli apporti nutrizionali consigliati per la vitamina B6. Oggi si sa che questa vitamina svolge un ruolo in oltre 60 diversi sistemi enzimatici.
Negli anni ’80, vengono descritte numerose malattie ereditarie del metabolismo piridossino-dipendenti, come pure interazioni tra la vitamina B6 e alcune macro-molecole. Il ruolo della vitamina B6 è allo studio in diversi settori, in particolare quale modulatore nell’immunità e nelle malattie cardiovascolari.
Struttura Chimica
La vitamina B6 è un derivato della piridina. Con il termine vitamina B6 si raggruppano tre sostanze affini che si distinguono soltanto per il gruppo in posizione 4 e che hanno un’attività vitaminica B6 identica. Questo gruppo può essere un alcool (piridossolo o piridossina), una aldeide (piridossale) o una amina (piridossamina).
Le tre forme vitaminiche possono essere fosforilate ed una di esse, il piridossal-fosfato, ha un ruolo metabolico particolarmente importante, in quanto è la forma coenzimatica attiva.
Formule di struttura


Proprietà Fisico-Chimiche
La piridossina si presenta sotto forma di una polvere cristallina bianca.
È facilmente solubile in acqua (circa 1 g/5 mi), difficilmente solubile in alcool, insolubile in etere e cloroformio.
Il cloridrato di piridossina è stabile al calore ed all’ossigeno.
La piridossina è degradata dalla luce in soluzione neutra o alcalina, molto meno in soluzione acida.

Metabolismo
Assorbimento
La vitamina B6 è presente negli alimenti in tre forme (alcool, aldeide ed amina) che possono essere fosforilate in posizione 5. Gran parte è legata alle proteine o ai glucidi.
I vegetali contengono principalmente piridossina. I prodotti animali contengono soprattutto piridossale e piridossamina la cui biodisponibilità è migliore.
Le vitamine vengono liberate dalle proteine alimentari e le forme fosforilate sono idrolizzate da una fosfatasi intestinale prima di essere assorbite.
La forma glucoside (P-D-glucosio in posizione 5) è assorbita direttamente o dopo idrolisi.
¦ Sede
L’assorbimento della vitamina B6, avviene principalmente a livello del digiuno prossimale.
¦ Meccanismo
L’assorbimento avviene attraverso un meccanismo di diffusione passiva non safurabile. AH’interno della cellula intestinale, la vitamina B6 subisce dei processi di fosforilazione e di defosforilazione che probabilmente svolgono un ruolo nell’assorbimento.
Le diverse forme defosforilate lasciano la cellula intestinale e passano nel sangue portale.
La vitamina B6 sintetizzata dalla flora batterica del colon non è praticamente assorbita.
Assorbimento della vitamina

Distribuzione
• Il piridossale, la piridossina e la piridossamina sono trasportate al fegato attraverso la vena porta. Penetrano nella cellula epatica per diffusione passiva e vengono trasformate in coenzima attivo: il piridossal-fosfato.
Questa reazione di attivazione coinvolge due enzimi:
la piridossal chinasi, che catalizza la trasformazione delle tre forme di vitamina B6 nei loro derivati fosforilati:

Questo enzima è presente in tutti i tessuti.
La piridossina ossidasi che catalizza la trasformazione dei derivati fosforilati in coenzima attivo:

Questo enzima è FMN-dipendente (vedere: vitamina B2). È presente essenzialmente nel fegato, il che spiega come quest’organo abbia un ruolo centrale nel metabolismo della vitamina B6.
• Il piridossal-fosfato si fissa agli apoenzimi per svolgere il suo ruolo coenzimatico. Può anche essere defosforilato dalla fosfatasi alcalina e rilasciato in circolo sotto forma di piridossale.
• Nel sangue, la vitamina B6 si ripartisce in due compartimenti: plasmatico e globulare che è due volte più ricco.
– A livello del compartimento piasmatico, il principale costituente è il piridossal-fosfato (54%). È legato per l’80% all’albumina.
– Nel compartimento globulare si trova piridossal-fosfato legato all’emoglobina.
Concentrazione piasmatica delle diverse forme di vitamina B6
| Concentrazione in nmoli/l | |
|---|---|
| Piridossale | 23 |
| Piridossal – P | 57 |
| Pirìdossina | 19 |
| Piridossina – P | 0 |
| Piridossamina | 2 |
| Piridossamina – P | 8 |
| Acido piridossico | 49 |
La concentrazione di vitamina B6 nel sangue è di 150 nmol/1. La vitamina B6 si diffonde in seguito in tutti i tessuti.
A livello dei tessuti, le cellule assumono il piridossale piasmatico ed effettuano una sintesi del coenzima attivo.
Nell’adulto, l’organismo contiene da 40 a 150 mg di vitamina B6.
Il fegato è l’organo più ricco di vitamina B6; vengono quindi in ordine decrescente il cervello, il rene e la milza.
Concentrazione di piridossal-fosfato nei diversi organi
| Concentrazione in µg/g | |
|---|---|
| Fegato | 2,21 |
| Cervello | 0,43 |
| Rene | 0,43 |
| Milza | 0,13 |
Esistono delle piccole riserve di vitamina B6 nell’organismo, principalmente sotto forma di piridossal-fosfato legato alla glicogeno-fosforilasi del muscolo. Queste riserve possono soddisfare il fabbisogno per tre-dieci settimane.
Distribuzione della vitamina B6

Eliminazione
La vitamina è eliminata per via urinaria, principalmente sotto forma di un metabolita: l’acido 4-piridossico.
Questo acido si forma nel fegato e nei reni tramite un enzima FAD-dipendente (vedere: vitamina B2), l’aldeide ossidasi, che catalizza la reazione:
![]()
Il 50% della vitamina assunta quotidianamente è eliminato nelle urine in questa forma (da 0,5 a 1,3 mg/24 ore).
Nelle urine si trova anche del piridossale in piccolissime quantità (0,1 mg/24 ore).
Eliminazione delia vitamina B6

Fisiologia
La vitamina interviene in un elevato numero di reazioni enzimatiche implicate nel metabolismo degli aminoacidi.
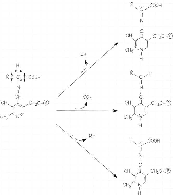
Meccanismo d’azione
Il piridossal-fosfato si lega a diversi tipi di enzimi formando una base di Schiff, vale a dire un legame tra l’aldeide (CHO) in posizione C4 della vitamina ed il residuo aminico (NH2) di un aminoacido (la lisina) dell’enzima.

Il piridossal-fosfato reagisce nello stesso modo con gli aminoacidi per formare un’imina (aldimina o base di Schiff): condensazione del gruppo aminico dell’a-minoacido con l’aldeide del piridossal-fosfato.

Questa imina subisce una rottura a livello del carbonio a con formazione di una imina di transizione.
La rottura può interessare uno dei tre legami in funzione dell’apoenzima implicato:
– rottura del legame Ca-H che libera H+,
– rottura del legame Ca-COOH che libera CO2,
– rottura del legame Ca-R che libera R+.

Infine l’idrolisi dell’imina di transizione libera il prodotto della reazione e rigenera il piridossal-fosfato.
Ruolo metabolico del piridossal-fosfato
¦ Rottura del legame Ca-H
• Le transaminasi
Le transaminasi sono enzimi essenziali del metabolismo e del catabolismo degli aminoacidi.
Queste trasferiscono un radicale aminico (NH2) di un aminoacido (1) su un acido alfa-chetonico (2) con produzione, rispettivamente, dell’acido alfa-chetonico (1) e dell’aminoacido (2) che corrispondono loro:

Nel corso di questa reazione, il piridossal-fosfato è l’accettore transitorio della funzione aminica e si trasforma in fosfato di piridossamina. Il piridossal-fosfato viene rigenerato trasferendo l’amina.
Reazione di transaminazione

Due transaminasi sono particolarmente importanti:
La transaminasi glutammico-piruvica (GPT) o alanina-aminotransferasi (ALT) che catalizza la reazione:

La transaminasi glutammico-ossalacetica (GOT) o aspartato-aminotransferasi (AST) che catalizza la reazione:

L’acido piruvico e l’acido ossaiacetico sono reintrodotti nel ciclo di Krebs, mentre l’acido glutammico rigenera l’acido alfa-chetoglutarico liberando una molecola di ammoniaca.
Queste reazioni di transaminazione sono reversibili e svolgono un ruolo molto importante per la degradazione e la sintesi degli aminoacidi.
Partecipano anche alla sintesi dei glucidi (neoglucogenesi) tramite alcuni aminoacidi.
La GPT è abbondante nel fegato e la GOT nel miocardio. Il loro livello plasmatico aumenta in caso di necrosi di questi tessuti.
• Le deidratasi
Catalizzano la deidratazione degli aminoacidi, prima reazione di una serie che termina con la deaminazione degli aminoacidi:

Una deidratasi interviene nel metabolismo della serina:
![]()
• Le transulfurasi
Questi enzimi trasferiscono un gruppo dolo (SH) da una sostanza ad un’altra:
![]()
Una reazione di questo tipo è coinvolta nella biosintesi della cisteina partendo dalla serina e dall’omocisteina (questa proviene dalla metionina):
![]()
Gli enzimi che catalizzano queste reazioni, la cistationina sintetasi e la cistatio-nasi, usano il piridossal-fosfato come coenzima.
Metabolismo della metionina

• Le racemasi
Trasformano un aminoacido di forma L in forma D, ma questa reazione non ha luogo nei mammiferi.
¦ Rottura del legame Ca-COOH
• Le decarbossilasi
Le decarbossilasi catalizzano la formazione di amine partendo da aminoacidi:

Queste reazioni producono in particolare dei neuromediatori (istamina, serotonina, dopamina, adrenalina, noradrenalina, GABA) ma anche putrescina (precursore di poliamine cationiche che intervengono nelle regolazioni cellulari) e taurina (precursore degli acidi biliari)…
¦ Rottura del legame Ca-R
• Le transferasi
Una transferasi catalizza la trasformazione di due aminoacidi mediante rottura del radicale (R):

La serina e la treonina vengono così trasformate in glieina.
• Le sintetasi
La 5-aminolevulinato sintetasi è un enzima che catalizza la prima fase della sintesi deU’eme, che è la porfirina deU’emoglobina:
![]()
¦ Altri enzimi
• La chinureninasi
È un enzima che interviene nel metabolismo del triptofano. Questa via metabolica termina con la sintesi endogena del NAD e richiede la presenza di questo enzima (vedere: vitamina PP):
![]()
Questa reazione è alla base del test da carico di triptofano che serve per valutare la carenza di vitamina B6.
• La glicogenofosforilasi
Questo enzima è interessato nel metabolismo del glicogeno ed in particolare nella liberazione del glucosio. Il meccanismo di azione della vitamina non è ben noto.
Questa funzione richiede una gran parte del pool vitaminico a causa dell’abbondanza della glicogenofosforilasi nelle cellule muscolari.
¦ Interazione con macromolecole
La vitamina B5 interferisce con alcune macromolecole, in particolare i recettori ormonali, l’emoglobina e diversi enzimi (vedere: ricerche attuali).
Per concludere, la vitamina B6 è coinvolta in numerosissime reazioni chimiche del metabolismo degli aminoacidi. Svolge anche un ruolo in altre vie metaboliche, in particolare quelle:
– del glicogeno: liberazione di glucosio,
– degli steroidi: legame con il recettore citoplasmatico,
– dell’emoglobina: sintesi dell’eme e modulazione dell’affinità per l’ossigeno,
– degli enzimi,
come pure nelle reazioni immunitarie.
Il suo ruolo nel metabolismo dei lipidi (attraverso la metionina e la carnitina) rimane controverso.
Principali vie metaboliche che coinvolgono la vitamina B6

Fonti, Unità,Apporti, Stato
Fonti alimentari
Come le altre vitamine del gruppo B, la piridossina è presente in parecchi alimenti. Le concentrazioni più elevate si trovano nel lievito e nel germe di grano.
Nell’alimentazione abituale, le fonti più importanti sono la carne, il pesce ed il fegato. I latticini ed i cereali ne contengono quantità minori. La maggior parte della frutta e della verdura è povera di vitamina B6. Quelle che ne contengono di più sono le banane, i cavolfiori, i fagiolini.

Secondo recenti studi, l’apporto di vitamina B6 si ripartisce in media in Francia tra le seguenti fonti alimentari:
| Apporto di vitamina B6 | |
|---|---|
| Carne, pesce, uova | da 27% a 28% |
| Pane, cereali, patate | da 20% a 28% |
| Frutta e verdura | da 20% a 22% |
| Latticini | da 11% a 18% |
| Aitri alimenti | da 7% a 10% |
La vitamina B6 è abbastanza stabile. Negli alimenti, le perdite più rilevanti (da 10% a 50%) sono dovute alla sua solubilità in acqua durante la cottura.
Unità
La vitamina B6 viene valutata mediante la misura in peso (mg) di piridossina.
Apporto consigliato
A seconda delle fasce d’età, l’apporto nutrizionale consigliato in Francia è da 0,6 a 2,2 mg al giorno:
| mg/giorno | |
|---|---|
| Lattanti | 0,6 |
| Bambini da 1 a 3 anni | 0,8 |
| Bambini da 4 a 9 anni | 1,4 |
| Bambini da 10 a 12 anni | 1,6 |
| Adolescenti, uomini aduiti | 2,2 |
| Adolescenti, donne adulte | 2 |
| Gravidanza, allattamento | 2,5 |
L’assenza di depositi di riserva di questa vitamina giustifica la necessità di un apporto quotidiano sufficiente.
Stato nutrizionale
• I recenti studi realizzati in Francia hanno dimostrato che oltre la metà della popolazione adulta ha un apporto inferiore alle raccomandazioni e che dal 30% al 50% delle donne assume meno di due terzi dell’apporto consigliato.
• 1 risultati di alcuni studi biologici confermano queste osservazioni: dal 10% al 20% degli adulti dello studio Val-de-Marne 88 aveva un livello ematico corrispondente ad un rischio di carenza di vitamina B6.
Questo rischio di carenza marginale è più elevato nelle donne che negli uomini, soprattutto nella fascia di età dai 18 ai 30 anni in cui circa una donna su quattro sarebbe interessata.
Carenza
Clinica
Il deficit di piridossina si manifesta con segni cutanei, mucosi, neuropsichiatrici ed ematologici.
Nell’uomo, i sintomi abitualmente non sono conclamati, sono aspecifici e molto spesso comuni con quelli di altre carenze di vitamine del gruppo B.
Nel corso di una carenza sperimentale, i segni compaiono entro due-tre settimane.
• Segni cutanei e mucosi
Le lesioni cutanee si presentano sotto forma di una dermatite seborroica prevalentemente a livello peri-orifiziale.
Le lesioni mucose colpiscono le labbra (cheilite) e la lingua (glossite).
• Segni neuropsichiatrici
I segni psichiatrici sono rappresentati da astenia e depressione accompagnate talvolta da irritabilità.
I segni neurologici sono più tardivi e si presentano sotto forma di polineurite distale con abolizione dei riflessi osteotendinei, parestesie, dolori, disturbi vasomotori ed amiotrofia.
Nel bambino sono state osservate crisi convulsive.
• Segni ematologici
Si osservano talvolta anemia microcitica ipocromica nonché anomalie dell’immunità cellulare ed umorale.
Fisiopatologia – Epidemiologia
Poiché la vitamina B6 è ampiamente distribuita nell’alimentazione, le carenze sono rare e risultano dall’insieme di diverse cause:
• diminuzione dell’apporto,
• diminuzione dell’assorbimento,
¦ Paesi in via di sviluppo
La carenza di vitamina B6 non riveste un aspetto di particolare importanza nei paesi in via di sviluppo.
La riduzione dell’apporto costituisce il principale meccanismo di insorgenza ed i segni clinici si integrano in un quadro di deficit nutrizionali multipli.
Uno studio eseguito in India, su donne gravide e su bambini piccoli, ha dimostrato che l’apporto alimentare di vitamina B6 era inferiore a quello consigliato.
¦ Paesi industrializzati
Nei paesi industrializzati, le manifestazioni cliniche carenziali tipiche sono rare. Più spesso si osservano segni aspecifici o stati di deficit marginale, particolarmente in alcuni gruppi a rischio.
• L’alcolismo cronico
La carenza di vitamina B6 è molto frequente negli alcolisti. Dal 32% al 53% di questi presenta uno stato di deficit marginale.
Parecchi fattori possono associarsi e contribuire all’instaurarsi di una carenza:
– diminuzione dell’apporto in relazione ad un’alimentazione totalmente squilibrata,
– diminuzione dell’assorbimento dovuta alla patologia gastrointestinale frequentemente osservata in questo contesto,
– alterazione del metabolismo della vitamina B6 da parte dell’alcool: diminuzione della sintesi di coenzima attivo (inibizione della piridossina chinasi) ed aumento del suo catabolismo.
• Le interazioni farmacologiche (vedere: Farmacologia)
Manifestazioni carenziali sono state osservate nei pazienti trattati a lungo termine con i farmaci interessati.
• L’emodialisi
L’emodialisi altera il metabolismo della vitamina B6 mediante due meccanismi:
– diminuzione della sintesi di coenzima attivo per inibizione della piridossina chinasi,
– aumento della degradazione.
• La gravidanza e l’allattamento
La carenza è dovuta all’aumento del fabbisogno dovuto alla crescita del feto.
D’altra parte, il latte di donna è molto meno ricco di vitamina B5 del latte vaccino.
• La nutrizione parenterale non integrata
L’assenza di piridossina nella nutrizione parenterale protratta per lungo tempo induce una vera e propria carenza sperimentale.
• Le carenze associate a certe patologie
È stato osservato uno stato di carenza marginale in alcune condizioni patologiche; asma, diabete, insufficienza renale, cardiopatie, cancro della mammella, malattia di Hodgkin, drepanocitosi, epatopatie, psicotici ospedalizzati.
I meccanismi fisiopatologici di queste carenze non sono sempre definiti.
• Il tabagismo
Nei fumatori sono stati osservati bassi livelli plasmatici.
• Le malattie ereditarie del metabolismo vitamina B6-dipendente
Mutazioni possono colpire diversi enzimi piridossino-dipendenti: L’omocistinuria: deficit di cistationina sintetasi.
È il deficit enzimatico di gran lunga più frequente.
Questo enzima è coinvolto nella transulfurazione della metionina in cisteina (vedere: Metabolismo). 11 blocco della reazione provoca l’accumulo, nel sangue e nelle urine, di prodotti situati a monte: omocisteina e metionina.
Clinicamente, si osservano: lussazione del cristallino, deformazioni ossee, complicanze tromboemboliche e ritardo mentale.
Si tratta generalmente di una diminuzione di affinità dell’apoenzima per la vitamina B6.
Circa il 40% dei casi risponde alla somministrazione di vitamina B5 a dosi da 250 a 500 mg al giorno.
La cistationuria: deficit di cistationasi.
Anche questo enzima è coinvolto nella transulfurazione della metionina in cisteina (vedere; Metabolismo). Il blocco della reazione provoca l’accumulo di cistationina nel sangue e nelle urine.
Clinicamente, si osservano talvolta ritardo mentale ed epilessia. Esistono parecchie forme asintomatiche.
Si tratta di una diminuzione di affinità 0 di velocità di sintesi dell’oloenzima. Questa anomalia è molto spesso sensibile alla vitamina B5.
L’iperornitinemia: deficit di ornitina aminotransferasi.
Questo enzima catalizza la reazione:
![]()
II difetto di funzione dell’enzima provoca una iperornitinemia.
Clinicamente esiste un’atrofia serpiginosa della coroide e della retina. Alcuni casi sono sensibili alla vitamina B6.
L’aciduria xanturenica: deficit di chinureninasi.
Questo enzima partecipa al metabolismo del triptofano (vedere; vitamina PP) e catalizza la reazione:
![]()
Il blocco della reazione provoca un accumulo nelle urine di idrossichinurenina, chinurenina, acido xanturenico e acido chinurenico.
Clinicamente esiste ritardo mentale. Alcuni casi sono sensibili alla vitamina B5.
Le anemie sideroblastiche familiari piridossino-sensibili.
Sono state descritte anemie ipocromiche familiari sensibili alla vitamina B5.
In alcuni pazienti giapponesi, un deficit di 5-aminolevulinato sintetasi è stato evidenziato nei globuli rossi. Questo enzima vitamina B6-dipendente catalizza una reazione della sintesi deH’emoglobina:
![]()
Le convulsioni piridossino-dipendenti.
Sono stati descritti rari casi di convulsioni sensibili alla vitamina
Esse cominciano abitualmente nel periodo neonatale con crisi generalizzate ma anche con l’aspetto di malattia degli spasmi in flessione o ipsaritmia. In assenza di trattamento, possono presentare complicanze di ritardo psicomotorio o addirittura evolvere verso la morte.
In un bambino è stata dimostrata una diminuzione dell’affinità della glutammato decarbossilasi per la vitamina B6. Questo enzima catalizza la reazione:
![]()
È stato raccomandato di effettuare un trattamento di prova con la vitamina B6 nei casi di epilessia con inizio prima dei 18 mesi.
Le ossalurie primarie: deficit di a-chetoglutarato gliossilato carboligasi (ossalosi di tipo I) o di D-glicerato deidrogenasi (ossalosi di tipo II).
Questi enzimi partecipano al metabolismo dell’acido gliossilico. Non sono vitamina B6-dipendenti ma, in caso di carenza, il metabolismo è deviato verso la sintesi di glieina da una transaminasi che utilizza la vitamina B6.
Questo spiega la diminuzione dell’ossaluria osservata in alcuni casi di ossalosi di tipo 1 trattati con piridossina.
Metabolismo dell’acido gliossilico

Il quadro clinico presenta ritardo di crescita con osteoporosi, litiasi da ossalatò di calcio ed insufficienza renale.
Diagnosi di Carenza
La diagnosi di carenza di vitamina B6, sospettata clinicamente in un paziente che presenti parecchi fattori di rischio, può essere confermata con esami di laboratorio.
La determinazione dello stato biologico vitaminico può essere ottenuta con metodi diretti dosando i diversi derivati nel plasma, nei globuli rossi e nelle urine, o con metodi indiretti esaminando reazioni chimiche dipendenti dalla vitamina B6.
Dosaggio diretto
• Dosaggio ematico
Il piridossal-fosfato è quantitativamente il più importante dei derivati plasmatici e quello che dà le migliori indicazioni. Il livello normale è superiore a 30 nmoli/1 (7,4µg/l) e diminuisce in caso di carenza.
• Dosaggio urinario
L’acido 4-piridossico è il principale catabolita urinario. L’eliminazione normale va 2,7 a 7 pmoli/giorno. Diminuisce in caso di carenza, ma riflette solo l’apporto recente. Questi due parametri sono influenzati dall’apporto proteico.
Esami funzionali
• Misure dell’attività enzimatica
Il principio di questi metodi consiste nello studiare l’attività degli enzimi eritrocitari vitamina B6-dipendenti, le transaminasi GOT e GPT.
Si misura l’attività dell’enzima dei globuli rossi del paziente prima e dopo aggiunta di vitamina B6. In caso di carenza, l’aggiunta di vitamina B6, provoca un aumento dell’attività dell’enzima. Il risultato è espresso sotto forma di un coefficiente di attivazione che è il rapporto:
attività GOT con Piridossal-Fosfato/attività GOT senza Piridossal-Fosfato
Si ritiene che questi metodi diano una buona stima dello stato vitaminico.
• Il test da carico di triptofano
Questo metodo consiste nel misurare l’eliminazione urinaria di acido xanturenico dopo carico di triptofano. In caso di carenza, il catabolismo del triptofano sarà bloccato a livello di un enzima B6-dipendente: la chinureninasi. Questo provoca un accumulo del prodotto situato a monte dell’enzima bloccato ed una alterazione metabolica con aumento dell’eliminazione urinaria di acido xanturenico. Un’eliminazione superiore a 20 mg/24 ore dopo assorbimento di 2-5 g di triptofano testimonia una carenza di vitamina B6.
Interpretazione dei risultati secondo diversi autori
| Stato | Piridossal-fosfato plasmatico(nmol/l) | Acido 4-piridossico urinario (mg/24 h) | Coefficiente di attivazione eritrocitario GOT GPT | Test da carico acido xanturenico urinario(mg/24 h) |
|---|---|---|---|---|
| Normale | >45 | 0,5-1,3 | <1,25 <1,7 | <20 |
| Marginale | 30-45 | 1,7-1,8 | ||
| Deficitario | <30 | <0,5 | >1,25 >1,8 | > 20 |
Farmacologia
Proprietà farmacologiche
Mentre le proprietà biochimiche della vitamina B6 ai quantitativi nutrizionali sono ben definite, meno bene si conoscono i meccanismi della sua attività farmacologia specifica a dosaggi terapeutici.
In effetti, per la loro anzianità, le indicazioni corrispondenti non sono sempre state confermate con sperimentazioni cliniche controllate.
L’utilizzo della vitamina B6 a dosaggi farmacologici elevati è in fase di studio.
Interazioni farmacologiche
Alcuni farmaci interferiscono con il metabolismo della vitamina B6.
• L’isoniazide o INI
Questo farmaco antitubercolare si combina con il piridossal-fosfato e forma un idrazone privo di attività vitaminica.
Questo fenomeno può indurre una carenza di vitamina B5 che si manifesta clinicamente (neuropatia, pellagra) particolarmente nei pazienti acetilatori lenti che metabolizzano più lentamente LINI.
• I contraccettivi orali
Gli steroidi provocano un aumento della sintesi di un enzima del metabolismo del triptofano (la triptofano diossigenasi). Questo devia il metabolismo del trip-tofano verso la via di sintesi della chinurenina che richiede la vitamina B6.
Dal 15% al 20% delle donne che assumono contraccettivi ha uno stato di carenza marginale.
Alcuni sintomi osservati nelle donne che assumono contraccettivi (tendenza depressiva, disturbi digestivi) potrebbero essere in rapporto con questa alterazione metabolica che provoca una riduzione della sintesi della serotonina. Queste anomalie sono divenute rare con i farmaci estroprogestinici a minimo dosaggio.
• Altre interazioni
Alcuni farmaci formano dei complessi con la vitamina B6 che diventa inattiva.
La diidralazina: antipertensivo, vasodilatatore.
La penicillamina: trattamento della artrite reumatoide.
La cicloserina: antitubercolare.
Esiste inoltre un’incompatibilità fisicochimica con le soluzioni iniettabili alcaline e neutre.
Infine la vitamina B6 provoca una decarbossilazione a livello periferico della levodopa e ne diminuisce quindi l’azione a livello centrale.
Incidenti e complicanze
La tossicità acuta della vitamina B6 è bassa.
Viceversa, l’assunzione di “megadosi” per periodi prolungati può provocare una polineurite.
Questo fenomeno è stato osservato per dosaggi quotidiani da 0,5 a 6 g/giorno. Più spesso, si tratta di dosi elevate (> 2 g/giorno), talvolta di dosi inferiori ad 1 g, ma somministrate per molto tempo (> 1 anno). Queste manifestazioni regrediscono con l’interruzione del trattamento.
Sono stati segnalati altri effetti secondari: diminuzione della memoria, aumento delle transaminasi (GOT), aggravamento dell’acne, diminuzione della secrezione di prolattina, rare reazioni allergiche.
Indicazioni e Controindicazioni
Indicazioni
¦ Trattamento terapeutico
• Nel trattamento delle carenze, nell’adulto la posologia utilizzata è 100-500 mg/giorno per via orale. In caso di necessità, si può ricorrere alla via parenterale.
• Le malattie metaboliche ereditarie
Richiedono una supplementazione continuativa per prevenire l’instaurarsi dei sintomi. Si usano dosi elevate.
¦ Trattamento preventivo
La prevenzione della carenza si basa su un’alimentazione equilibrata che soddisfa facilmente il fabbisogno.
Tuttavia, in alcune situazioni particolari, può essere giustificato un trattamento preventivo.
• La nutrizione parenterale
Per evitare l’instaurarsi di una carenza, la piridossina è associata a diversi nutrienti parenterali. La dose raccomandata nell’adulto è di circa 0,03 mg/kg/giorno.
• L’insufficienza renale e l’emodialisi
L’integrazione permette di compensare le perdite.
• Le interazioni farmacologiche
Per prevenire la carenza dovuta ad un’interazione farmacologica durante un trattamento di lunga durata con INI, penicillamina o diidralazina, è possibile associare da 10 a 50 mg/giorno di piridossina.
Si può anche proporre un trattamento preventivo nelle donne che assumono contraccettivi orali che abbiano presentato segni clinici evocatori che siano regrediti con la somministrazione di piridossina.
• L’integrazione alimentare
In alcuni paesi, ed in particolare negli Stati Uniti, la supplementazione con vitamina B6 delle farine è obbligatoria per prevenire il deficit.
¦ Altre indicazioni
La piridossina è usata a titolo preventivo e terapeutico in diverse indicazioni non carenziali:
– sindrome premestruale: 40-100 mg/giorno,
– sindrome del tunnel carpale: 100-150 mg/giorno,
– neuropatia diabetica: 150 mg/giorno,
– crisi drepanocitiche: 100 mg/giorno,
– intossicazione da INI: 1 g per ogni grammo di INI per via endovenosa,
– sindrome del ristorante cinese: 50 mg/giorno.
¦ Usi abituali
• La vitamina B6 è usata, in associazione con le vitamine B1 e B12, nelle sindromi algiche di origine reumatica o neurologica.
• L’uso della vitamina B5 è anche proposto come trattamento coadiuvante in alcune polineuriti, neurite ottica, parestesie, crampi,…
Controindicazioni
La vitamina B6 è controindicata durante i trattamenti con DOPA (antiparkinso-niano). Infatti, la piridossina potenzia la decarbossilazione a livello periferico del prodotto, riducendo quindi la quantità disponibile a livello centrale.
Alcune forme farmaceutiche di DOPA contengono un inibitore delle decarbossilasi che riduce questa interazione.
Ricerche Attuali
Le ricerche attuali studiano il possibile ruolo svolto dalla vitamina B6 nell’immunità, nel rischio cardiovascolare e nell’asma.
Vitamina B6 ed immunità
La carenza di vitamina B6 provoca alterazioni dell’immunità cellulare ed umorale: diminuzione del numero di linfociti, del livello di interleuchina 2 e della risposta ai mitogeni.
Uno studio di supplementazione in persone anziane in buona salute (50 mg/giorno per due mesi) ha portato ad un miglioramento dello stato immunitario valutato in vitro (aumento della risposta ai mitogeni e del numero di linfociti T3 e T4 senza modifica di T8).
Sono in corso studi per valutare in vivo l’efficacia di una supplementazione.
Vitamina B6 e malattie cardiovascolari
La vitamina B6 è necessaria per la trasformazione dell’omocisteina in cisteina (vedere: Metabolismo). In caso di carenza di vitamina B6, si osserva un accumulo di omocisteina che sembra associato ad un aumento del rischio vascolare.
Studi epidemiologici hanno dimostrato che il basso consumo alimentare di vitamina B6 è correlato ad un aumento del livello ematico di omocisteina.
Tuttavia, non sono stati valutati gli effetti a lungo termine di un’integrazione alimentare.
Vitamina B6 ed asma
Una diminuzione del livello piasmatico di piridossal-fosfato è stata osservata negli adulti asmatici ma non nei bambini.
Sono stati ipotizzati due meccanismi:
– un’interazione farmacologica con la teofillina,
– l’esistenza di un’alterazione del metabolismo della vitamina B6 nell’asma, come suggerisce il mancato aumento del livello ematico del piridossal-fosfato dopo la somministrazione di dosi elevate di vitamina B6.
In uno studio, la somministrazione di vitamina B6 (50 mg due volte al giorno) ha provocato una diminuzione della frequenza e della gravità dei sintomi. Un risultato simile è stato osservato nel bambino con dosi più elevate (200 mg/giorno).
Vitamina B6 e macromolecole
La vitamina interferisce con alcune macromolecole, più spesso quelle proteiche, e svolge un ruolo di modulatore.
• Modulazione dei recettori degli ormoni steroidei
Penetrando nella cellula-bersaglio, l’ormone steroideo si lega ad un recettore citoplasmatico. 11 complesso attivato così formato penetra nel nucleo e si lega alla cromatina o al DNA.
Il piridossal-fosfato reagisce con il complesso citoplasmatico attivato (probabilmente formando una base di Schiff) ed inibisce la fissazione sul DNA.
Modulazione degli ormoni steroidei da parte delia vitamina B6

• Interazione con l’emoglobina
Il piridossale ed il suo derivato fosforilato si legano rispettivamente alle catene alfa e beta dell’emoglobina e ne modificano l’affinità per l’ossigeno.
Modificano anche l’emoglobina drepanocitica (emoglobina S) ed inibiscono la drepanocitosi dei globuli rossi.
• Modulazione enzimatica
Il piridossal-fosfato modula l’attività di numerosi enzimi. È stato osservato sia un effetto stimolatore che un effetto inibitore.
Conclusioni
La vitamina B6 svolge un ruolo in diverse vie metaboliche ed in particolare in quelle degli aminoacidi.
Le manifestazioni cliniche carenziali sono rare e sopravvengono in contesti particolari: alcolismo cronico, trattamento con INI ed estrogeni, emodialisi.
Viceversa, le carenze marginali sono frequenti.
Le conseguenze a lungo termine di queste carenze non sono ben note.
La vitamina B6 partecipa alle difese immunitarie e sono in corso studi per valutare l’efficacia di un’integrazione.
Indice delle monografie sulle Vitamine:
- Le Vitamine: generalità
- Vitamina A o Retinolo (beta-carotene)
- Vitamina B1 o Tiamina
- Vitamina B2 o Riboflavina
- Vitamina B5 (Acido Pantotenico)
- Vitamina B6 (Piridossina)
- Vitamina B8 o Vitamina B7 o Vitamina H (Biotina)
- Vitamina B9 (Acido Folico)
- Vitamina B12 (Cobalamina)
- Vitamina C (Acido Ascorbico)
- Vitamina D (Colecalciferolo)
- Vitamina E (Tocoferolo)
- Vitamina PP o Vitamina B3 (Niacina)
